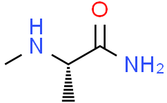
(S)-2-(甲基氨基)丙酰胺

英文名 (2S)-2-(Methylamino)propanamide
产品编号 YK098738
产品分类 化学
CAS号 55988-12-0
分子式 C4H10N2O
分子量 102.14
品牌 研楷
规格 1g 5g
品牌 货号 纯度 规格 目录价(CNY) 会员价(CNY) 数量 购物车
研楷 YK098738-1g 95% 1g ¥2228.00
研楷 YK098738-5g 95% 5g ¥6457.00
英文名称 (2S)-2-(Methylamino)propanamide
CAS号 55988-12-0
分子式 C4H10N2O
分子量 102.14
暂无相关论文!
暂无说明书!
暂无技术文章!
象形图
警示语
Class
警告声明
UNub
危险声明
Packing Group
搜索质检报告(COA)
相关产品